IHF同步带有梯形齿同步带和圆弧齿同步带两大类,设计也分为梯形齿同步带设计和圆弧齿同步带两种。
一、下面是盖奇圆弧齿同步带设计方法:
原始设计资料
1原动机和工作机类型;
2每天运转时间;
3需传递的名义功率P;
4小带轮转速n1;
5大带轮转速n2;
6初定中心距a0;
7对传动空间的特殊要求。
设计步骤
1确定设计功率Pd Pd = KAP kW……………………………………(1)
式中:KA——工作情况系数,见表 2。 【表 2工作情况系数KA】
|
工作机
|
原动机 | |||||
| 交流电动机(普通转矩鼠笼式、同步电动机),直流电动机(并激),多缸内燃机 | 直流电动机(大转矩、大滑差率、单相、滑环),直流电动机(复激、串激),单缸内燃机 | |||||
| 运转时间 | 运转时间 | |||||
| 断续使用每日3~5h | 普通使用每日8~10h | 连续使用每日16~24h | 断续使用每日3~5h | 普通使用每日8~10h | 连续使用每日16~24h | |
| 复印机,配油装置,测量仪表,放映机,医疗器械 | 1.0 | 1.2 | 1.4 | 1.2 | 1.4 | 1.6 |
| 清扫机,缝纫机,办公机械 | 1.2 | 1.4 | 1.6 | 1.4 | 1.6 | 1.8 |
| 带式输送机,轻型包装机,烘干箱,筛选机,绕线机,圆锥成形机,木工车床,带锯 | 1.3 | 1.5 | 1.7 | 1.5 | 1.7 | 1.9 |
| 液体搅拌机,混面机,钻床,冲床,车床,螺纹加工机,接缝机,圆盘锯床,龙门刨床,洗衣机,造纸机,印刷机 | 1.4 | 1.6 | 1.8 | 1.6 | 1.8 | 2.0 |
| 半液体搅拌机,带式输送机(矿石、煤、砂),天轴,磨床,牛头刨床,钻镗床,铣床,离心泵,齿轮泵,旋转式供给系统,凸轮式振动筛,纺织机械(整经机),离心式压缩泵 | 1.5 | 1.7 | 1.9 | 1.7 | 1.9 | 2.1 |
| 制砖机(除混泥机),输送机(平板式、盘式),斗式提升机,升降机,脱水机,清洗机,离心式排风扇,离心式鼓风机,吸风机,发电机,激磁机,起重机,重型升降机,橡胶机械,锯木机,纺织机械 | 1.6 | 1.8 | 2.0 | 1.8 | 2.0 | 2.2 |
| 离心机,刮板输送机,螺旋输送机,锤击式粉碎机,造纸制浆机 | 1.7 | 1.9 | 2.1 | 1.9 | 2.1 | 2.3 |
| 粘土搅拌机,矿山用风扇,鼓风机,强制送风机 | 1.8 | 2.0 | 2.2 | 2.0 | 2.2 | 2.4 |
| 往复式压缩机,球磨机,棒磨机,往复式泵 | 1.9 | 2.1 | 2.3 | 2.1 | 2.3 | 2.5 |
2选择带型
按n1和Pd,由图1选择带型。【参考ihf同步带选型网页】

3计算传动比 i
i = n1 / n2……………………………………………(2)
4确定带轮直径
4.1确定带轮齿数 Z1、Z2
小带轮齿数按 Z1≥Zmin原则确定,Zmin见表 3 【参考ihf带轮最小齿数网页】
圆弧齿同步带传动小带轮最少齿数zmin
|
小带轮转速n1/r·min^-1
|
带型
|
||||
|
|
|
|
|
20M
|
|
|
<900
|
12
|
14
|
22
|
28
|
34
|
|
900~1 200
|
14
|
20
|
28
|
28
|
34
|
|
1 200~1 800
|
16
|
24
|
32
|
32
|
38 |
|
1 800~3 500
|
20
|
28
|
36
|
— | — |
|
>3 500
|
22 | 30 |
—
|
— | — |
大带轮齿数按 Z2=iZ1计算后圆整。
4. 2确定带轮直径带轮节圆直径 d1、d2和带轮外径 da1、da2 ,按相应齿数 Z1、Z2可得。
【查看ihf各种同步带轮参数计算公式】
5选择带的节线长度 LP和确定实际中心距 a。
5. 1计算带的初定节线长度 L0
L0=2a0+1.57(d2+d1)+ (d2–d1)2/4a0mm………………………( 3)
式中:a0——初定中心距,mm,由设计任务给定。
5. 2选择带的标准节线长度 LP
LP根据 L0从盖奇同步带现有模具表中查询 【3M同步带5M同步带8M同步带14M同步带】
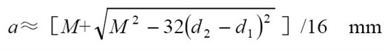
5. 3确定实际中心距 a
中心距近似计算公式为:
…………………………(4)
M=4LP–6.28(d2+d1) mm…………………………………( 5)
中心距精确计算公式见盖奇同步带节线长计算【参考ihf同步带节线长计算网页】
6确定中心距调整下限 I和调整上限 S
中心距范围为: (a—I)~(a+S)mm。I和 S值见表 4。
表4中心距安装量I和调整量S
|
LP
|
i
|
S
|
|
≤500
|
1.02
|
0.76
|
|
>500~1000
|
1.27
|
0.76
|
|
>1000~1500
|
1.78
|
1.02
|
|
>1500~2260
|
2.29
|
1.27
|
|
>2260~3020
|
2.79
|
1.27
|
|
>3020~4020
|
3.56
|
1.27
|
|
>4020~4780
|
4.32
|
1.27
|
|
>4780~6860
|
5.33
|
1.27
|
注: 当带轮加挡圈量,安装量I还应加下列数值(mm):
|
带型
|
单轮加挡圈
|
两轮加挡圈
|
|
3M
|
3.0
|
6.0
|
|
5M
|
13.5
|
19.1
|
|
8M
|
21.6
|
32.8
|
|
14M
|
35.6
|
58.2
|
|
20M
|
47
|
77.5
|
7确定带长系数
KL带长系数 KL由表 5查取。
表5带长系数KL
|
3M
|
LP(mm)KL | ≤190 0.80 | 191~260 0.90 | 261~400 1.00 | 401~600 1.10 | >600 1.20 | |
|
5M
|
LP(mm)KL | ≤440 0.80 | 441~550 0.90 | 551~800 1.00 | 801~1100 1.10 | >1100 1.20 | |
|
8M
|
LP(mm)KL | ≤600 0.80 | 601~900 0.90 | 901~1250 1.00 | 1251~1800 1.10 | >1800 1.20 | |
|
14M
|
LP(mm)KL | ≤1400 0.80 | 1401~1700 0.90 | 1701~2000 0.95 | 2001~2500 1.00 | 2501~3400 1.05 | >3400 1.10 |
|
20M
|
LP(mm)KL | ≤2000 0.80 | 2001~2500 0.85 | 2501~3400 0.95 | 3401~4600 1.00 | 4601~5600 1.05 | >5600 1.10 |
8确定啮合齿数系数 KZ啮
啮合齿数 Zm由式(6)计算: Zm =ent(0.5–(d2−d1)/6a )Z1………………………………(6)
啮合齿数系数KZ由式(7)确定:
Zm≥6,KZ=1
Zm<6,KZ=1–0.2(6–Zm)……………………………(7)
9确定带的基本额定功率P0
各带型的最小宽度推荐用基本额定功率P0
圆弧齿3M同步带基准带宽6mm的基本额定功率P0
圆弧齿5M同步带基准带宽9mm的基本额定功率P0
圆弧齿8M同步带基准带宽20mm的基本额定功率P0
圆弧齿14M同步带基准带宽40mm的基本额定功率P0
圆弧齿20M同步带基准带宽115mm的基本额定功率P0
10带的额定功率 Pr
带的额定功率按式(3)计算:Pr=KLKZKWP0 kW…………………………………(8)
式中:KW—带宽系数
KW=( bs/ bs0 )1.14……………………………………(9)
11确定带和带轮的宽度
按Pd≤Pr原则选择带的宽度bs,则
…………………………(10)
式中:bs0见下表
|
带型
|
3M
|
5M
|
8M
|
14M
|
20M
|
|
bs0
|
6
|
9
|
20
|
40
|
115
|
按计算结果选择相对应的常见宽度
并确定带轮的齿面宽度及总宽度。
12计算压轴力Q
压轴力Q示意图见图2。

图2带传动的压轴力
带的紧边张力F1和松边张力F2分别由式(11)、式(12)计算:
F1=1250Pd/v………………………………………(11)N
F2=250Pd/v………………………………………(12)N
式中:v—带速,m/s;v=πd1n1/6000。
压轴力Q由式(13)计算:Q=KF(F1+F2)N…………………………………(13)
当工况系数KA≥1.3时:Q=0.77KF(F1+F2)N………………………………(14)
式中:KF——矢量相加修正系数,见图3。

图3矢量相加修正系数
KF据小带轮包角α1 查图3 而得。小带轮包角由式(15)计算:
α1≈180°–(( d2−d1)/a)×57.3° ………………………………(15)
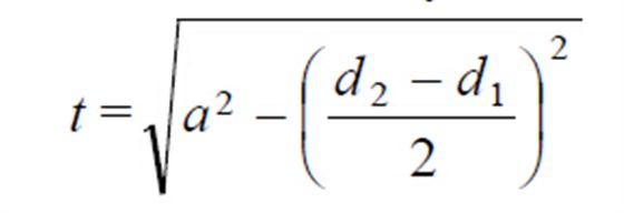
13带的张紧
按式(16)、式(17)计算带安装时应保证的挠度f(见图4),以使带产生适当的张紧力
……………………………(16)
f=t/64 mm………………………………………(17)
图4带安装时的挠度
施加表12规定的安装力G(见图4),调整中心距,使其挠度f与计算值一致。
表12安装力G
|
带型
|
带宽bsmm | 安装力GN |
|
3M
|
6
9
15
|
2.0
2.9
4.9
|
|
5M
|
9
15
20
25
30
|
3.9
6.9
9.8
12.7
15.7
|
|
8M
|
20
30
50
85
|
17.6
26.5
49.0
84.3
|
|
14M
|
40
55
85
115
170
|
49.0
71.5
117.6
166.6
254.8
|
|
20M
|
115
170
230
290
340
|
242.7
376.1
521.7
655.1
788.6
|
13设计小结
带型、带长、带宽。带的标记代号;带轮型号、大小带轮的齿数、节径、外径、宽度。带轮的标记代号;带传动实际中心距及其安装调整值;带传动的压轴力;带的安装力和挠度88爱彩本文由深圳市合发齿轮机械有限公司,合发齿轮17年只做一件事精密齿轮制造—同步带轮—同步带,生产厂家标准件大量库存当天发货价格优质保障,集研发.生产.服务一体化,